Теоретическая механика СГАСУ (АСА) Часть 1 (Статика и кинематика) (Е.С. Вронская, Г.А. Игнатов, Г.В. Павлов, Л.И. Фридман, 2007) РГР №3 Часть 3, вариант 762
Вариант:
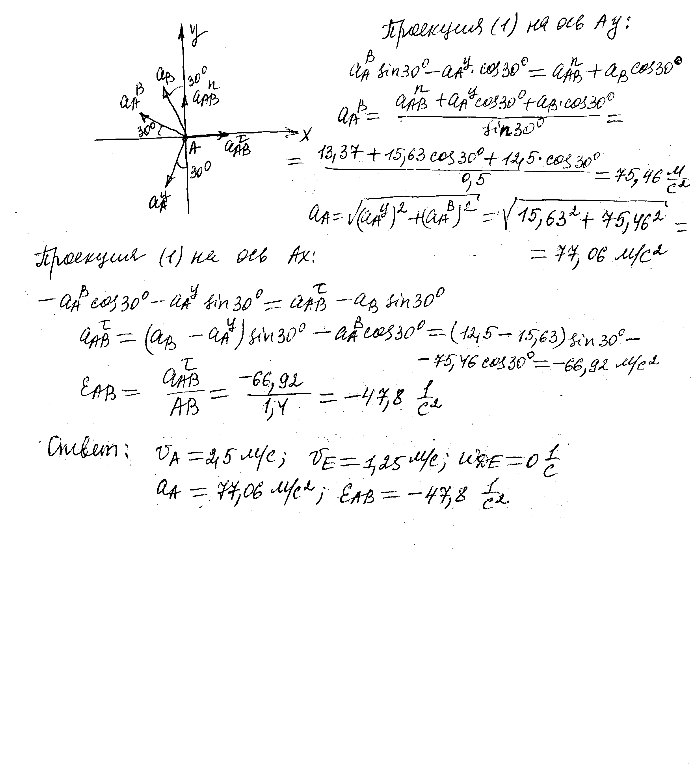
Описание
Учебная работа Теоретическая механика СГАСУ (АСА) Часть 1 (Статика и кинематика) (Е.С. Вронская, Г.А. Игнатов, Г.В. Павлов, Л.И. Фридман, 2007). РГР №3 Часть 3:
Если остались вопросы, звоните по тел.: 8 800-222-87-01 или пишите нам на почту order@reshim24.com
Для покупки учебной работы:
Оформите заказ через корзину.
Оплатите удобным для вас способом.
Получите весь материал на Ваш e-mail в короткие сроки.
Вы можете отслеживать и оплачивать заказы в Личном кабинете.
Если остались вопросы, звоните по тел.: 8 800-775-19-74 или пишите нам на почту order@reshim24.com
Также заказывают

Высшая математика СамГТУ Контрольная работа Обыкновенные дифференциальные уравнения - Часть 2 (Г.А. Павлова, 2013) Вариант 19 (ДУ. Ч2)
1 000 ₽

Высшая математика САМГТУ- заочный факультет - 2 семестр - 12 заданий, 2016 год, вариант 27
350 ₽

Высшая математика СамГТУ Теория вероятностей (10 заданий) 2017-2018год, вариант 15
700 ₽

Высшая математика 2 семестр, Контрольная работа №2, вариант 811
500 ₽





