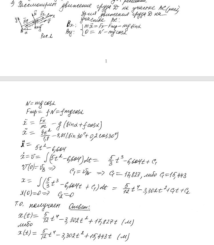
Теоретическая механика СамГТУ Динамика Задача Д1, вариант 46
Вариант:
Описание
Учебная работа Теоретическая механика СамГТУ Динамика Задача Д1:
Если остались вопросы, звоните по тел.: 8 800-222-87-01 или пишите нам на почту order@reshim24.com
Для покупки учебной работы:
Оформите заказ через корзину.
Оплатите удобным для вас способом.
Получите весь материал на Ваш e-mail в короткие сроки.
Вы можете отслеживать и оплачивать заказы в Личном кабинете.
Если остались вопросы, звоните по тел.: 8 800-775-19-74 или пишите нам на почту order@reshim24.com
Также заказывают

Высшая математика СамГТУ Контрольная работа Обыкновенные дифференциальные уравнения - Часть 1 (Г.А.Павлова, 2012) ДУ_Вариант 21
1 200 ₽

Высшая математика 2 семестр, Контрольная работа №2, вариант 814
500 ₽

Высшая математика 2 семестр, Контрольная работа №2, вариант 678
500 ₽

Высшая математика СамГТУ 1-2 курсы Теория вероятностей 8 заданий, вариант 7
250 ₽





