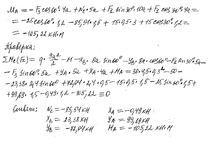
Теоретическая механика СГАСУ (АСА) Часть 1 (Статика и кинематика) (Е.С. Вронская, Г.А. Игнатов, Г.В. Павлов, Л.И. Фридман, 2007) РГР №1 (Задание 2) Часть 3, вариант 778
Вариант:
Описание
Учебная работа Теоретическая механика СГАСУ (АСА) Часть 1 (Статика и кинематика) (Е.С. Вронская, Г.А. Игнатов, Г.В. Павлов, Л.И. Фридман, 2007). РГР №1 (Задание 2) Часть 3:
Если остались вопросы, звоните по тел.: 8 800-222-87-01 или пишите нам на почту order@reshim24.com
Для покупки учебной работы:
Оформите заказ через корзину.
Оплатите удобным для вас способом.
Получите весь материал на Ваш e-mail в короткие сроки.
Вы можете отслеживать и оплачивать заказы в Личном кабинете.
Если остались вопросы, звоните по тел.: 8 800-775-19-74 или пишите нам на почту order@reshim24.com
Также заказывают

Высшая математика - заочный факультет - 2 семестр - 12 заданий, 2013 год, вариант 3
350 ₽

Эксплуатация промыслового электрооборудования СамГТУ Контрольная работа тема Электрооборудование буровых установок. Общие положения
1 100 ₽

Химия. СамГТУ Аналитическая химия Тип 2 Расчет теоретических кривых титрования
500 ₽

Высшая математика СамГТУ (КР №2 - 14 заданий), вариант 12
500 ₽





